BACALAUREAT 2016 MATEMATICĂ. Avem subiectele! Barem şi rezolvări corecte - miercuri, 6 iulie

BACALAUREAT 2016 MATEMATICĂ. Avem subiectele! Barem şi rezolvări corecte - miercuri, 6 iulie
BACALAUREAT 2016 MATEMATICĂ. Peste 137.000 de candidaţi, atât absolvenţi de clasa a XII-a din promoţia curentă, cât şi din promoţiile anterioare, susţin PROBELE SCRISE din cadrul examenului de BACALAUREAT 2016, potrivit datelor OFICIALE anunţate de MINISTERUL EDUCAŢIEI. În ceea ce priveşte REZULTATELE FINALE ale examenului de BACALAUREAT 2016, acestea urmează să fie AFIŞATE în 16 IULIE. Miercuri, 6 iulie, absolvenţii de clasa a XII-a au ausţinut PROBA SCRISĂ OBLIGATORIE a profilului, respectiv MATEMATICĂ sau ISTORIE.
BACALAUREAT 2016 MATEMATICĂ. În total, 137.344 de absolvenţi de clasa a XII-a vor susţine PROBELE SCRISE din cadrul examenului de BACALAUREAT 2016, în cele 473 de centre de examen. De asemenea, lucrările vor fi corectate în 87 de centre de evaluare, iar REZULTATELE FINALE ale examenului de BACALAUREAT 2016 urmează să fie afişate în 16 iulie.
Au sosit BAREMELE de corectare şi SUBIECTELE. Le prezentăm, pentru fiecare profil în parte:
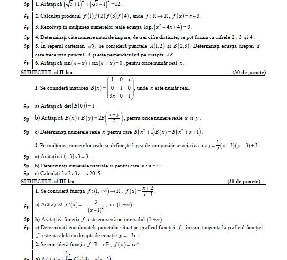
BAREM MATEMATICĂ BAC M1 - MATE INFO
BAREM MATEMATICĂ BAC M2 - Științele Naturii
BAREM MATEMATICĂ BAC M3 - TEHNOLOGIC
BAREM MATEMATICĂ BAC M4 - PEDAGOGIC
Vă reamintim că subiectele şi baremele de la proba scrisă MATEMATICĂ, din cadrul examenului de Bacalaureat, sunt ataşate acestui articol şi pot fi descărcate de oricine.


BACALAUREAT 2016 MATEMATICĂ - LIVE UPDATE: Reamintim că subiectele şi baremele de la bacalaureat matematică 2016 sunt ataşate acestui articol şi se pot descărca accesând fiecare fişier în parte.
Miercuri, 6 iulie, absolvenţii de clasa a XII-a au susţinut PROBA SCRISĂ OBLIGATORIE a profilului, respectiv MATEMATICĂ sau ISTORIE.
BACALAUREAT 2016 MATEMATICĂ - LIVE UPDATE 12:30: În GALERIA FOTO puteţi vedea care sunt subiectele care s-au dat, astăzi, la Bacalaureat matematică.
BACALAUREAT 2016 MATEMATICĂ - LIVE UPDATE 11:30: Mulţi elevi s-au declarat mulţumiţi de subiectele primite la matematică. Mai jos, puteţi vedea care au fost acestea:



BACALAUREAT 2016 MATEMATICĂ - LIVE UPDATE 10:30: Mai mulţi elevi au părăsit, deja, sălile de examen.
Barem Matematică BAC 2016 – Cum se rezolvau exerciţiile
BACALAUREAT 2016 MATEMATICĂ - LIVE UPDATE - În fişierele ataşate acestui articol, puteţi consulta SUBIECTE MATEMATICĂ şi BAREM MATEMATICĂ.
BACALAUREAT 2016 MATEMATICĂ - LIVE UPDATE 9:00: Examenul de BAC 2016 MATEMATICĂ a început. Şi de această dată, examenul durează 3 (trei) ore.
BACALAUREAT 2016 MATEMATICĂ - LIVE UPDATE 8:30: Elevii au început să intre în sălile de examen începând cu ora 8:30. Examenul scris va începe la ora 9:00.
Vineri, 8 iulie, va avea loc proba la alegere în funcţie de profilul liceal absolvit, care se susţine la una din materiile: geografie, chimie, fizică, biologie, informatică, filosofie, logică, psihologie, sociologie şi economie.
Aşa cum v-am obişnuit deja, pe site-ul nostru, www.realitatea.net, vom publica, în timp real, SUBIECTE şi BAREM pentru probele scrise obligatorii ale profilului, respectiv MATEMATICĂ şi ISTORIE, urmând ca, undeva în jurul orei 15:00, subiectele şi baremul să fie publicate şi pe site-ul subiecte.edu.ro.
În acest articol, ne vom axa, însă, doar pe SUBIECTE şi BAREM pentru proba scrisă la MATEMATICĂ.

SUBIECTE MATEMATICĂ BAC 2016. M1, M2, M3, M4. Cea mai grea probă la BACALAUREAT. SUBIECTE și BAREM
Veţi găsi toate informaţiile de care aveţi nevoie despre proba scrisă obligatorie a profilului la ISTORIE în materialele următoare, în cazul că aceasta a fost opţiunea voastră pentru examenul de astăzi. De reţinut că şi în aceste materiale vom face UPDATE LIVE, ori de câte ori vom avea informaţii noi.
SUBIECTE ISTORIE BACALAUREAT 2016. Subiecte complete şi barem ISTORIE - miercuri, 6 iulie
SUBIECTE ISTORIE BAC 2016. Ce subiecte vor elevii la a doua probă scrisă de la Bacalaureat
BACALAUREAT 2016 SUBIECTE şi BAREM MATEMATICĂ. Subiectele si baremul pentru examenul de BACALAUREAT 2016 vor fi publicate, în timp real, pe site-ul nostru, www.realitatea.net, urmând ca, undeva în jurul orei 15:00, subiectele şi baremul să fie publicate şi pe site-ul subiecte.edu.ro.
SUBIECTE MATEMATICĂ BACALAUREAT 2016. Iată care este CALENDARUL EXAMENULUI DE BACALAUREAT 2016 - PROBA SCRISĂ:
4 iulie2016 - Limba si literatura româna – proba E)a) – proba scrisă
5 iulie 2016 - Limba si literatura materna – proba E)b) – proba scrisă
6 iulie 2016 - Proba obligatorie a profilului – proba E)c) – proba scrisă
8 iulie 2016 - Proba la alegere a profilului şi specializării – proba E)d) – proba scrisă
12 iulie 2015 - AFIŞAREA REZULTATELOR pentru examenul de BACALAUREAT 2016 (până la ora 16:00) pe EDU.RO
12 iulie 2015 - Depunere CONTESTAŢII (orele 16:00 – 20:00)
13 -15 iulie 2015 - Rezolvare CONTESTAŢII
REZULTATELE FINALE ale examenului de BACALAUREAT 2016 urmează să fie AFIŞATE în 16 IULIE.
BACALAUREAT 2016 SUBIECTE MATEMATICĂ. REGULI pentru examenul de BACALAUREAT 2016.
BACALAUREAT 2016 SUBIECTE MATEMATICĂ. Toate sălile de EXAMEN vor fi supravegheate video şi audio. Vor fi supravegheate, în acelaşi mod, şi sălile în care se vor descărca şi se vor multiplica SUBIECTELE şi sălile în care se vor prelua, evalua şi depozita lucrările scrise.
BACALAUREAT 2016 SUBIECTE MATEMATICĂ. Extrem de important este faptul că, potrivit metodologiei de EXAMEN, candidaţii NU pot intra în săli cu manuale, dicţionare, notiţe, însemnări şi alte materiale care ar putea fi utilizate pentru REZOLVAREA SUBIECTELOR, şi nici cu telefoane mobile sau căşti audio.
Cei care vor încălca această regulă vor fi eliminaţi din EXAMEN şi îşi vor pierde dreptul de a participa la următoarele două sesiuni ale Bacalaureatului.
Timpul destinat elaborării unei lucrări scrise este de 3 (trei) ore, calculat din momentul în care s-a încheiat distribuirea subiectelor fotocopiate pentru fiecare candidat. În acest sens, candidaţii folosesc numai cerneală sau pastă de culoare albastră, iar pentru executarea schemelor şi a desenelor vor utiliza numai creion negru. Pentru proba scrisă la Matematică, aceştia pot apela doar la instrumente de desen. La probele scrise, mijloacele de calcul sunt interzise iar hârtia folosită este doar cea distribuită de asistenţi.
SUBIECTE MATEMATICĂ BACALAUREAT 2016. Absolvenţii de liceu promovează EXAMENUL DE BACALAUREAT 2016 dacă îndeplinesc, cumulativ, următoarele condiţii: au susţinut probele de evaluare a competenţelor; au susţinut toate probele scrise şi au obţinut cel puţin nota 5 la fiecare dintre acestea şi au obţinut cel puţin media 6 (şase) la probele scrise.
Lucrările scrise ale candidaţilor la BACALAUREAT pot fi corectate în alte judeţe decât cele în care se susţine examenul, prin decizie a Comisiei Naţionale de Bacalaureat. Transportul lucrărilor scrise dintr-un judeţ în cel desemnat şi aducerea lor înapoi, precum si consemnarea în catalogul electronic a rezultatelor obţinute de candidaţi se fac în conformitate cu procedurile elaborate de Comisia Naţională de Bacalaureat.
Absolvenţii de liceu promovează examenul de BACALAUREAT dacă îndeplinesc, cumulativ, următoarele condiţii: au susţinut probele de evaluare a competenţelor; au susţinut toate probele scrise şi au obţinut cel puţin nota 5 la fiecare dintre acestea şi au obtinut cel puţin media 6 (şase) la probele scrise.
Media notelor la probele scrise se calculează ca medie aritmetică, cu două zecimale, fără rotunjire. Aceasta reprezintă media generală a candidatului la examenul de BACALAUREAT.
BACALAUREAT 2016 SUBIECTE MATEMATICĂ. A doua sesiune a examenului de BACALAUREAT 2016 va avea loc în perioada august-septembrie, înscrierile fiind programate să se desfăşoare în perioada 18 - 22 iulie.
Astfel, în 16-17 august va avea loc evaluarea competenţelor lingvistice de comunicare orală în limba română şi evaluarea competenţelor lingvistice de comunicare orală în limba maternă, în 17-19 august - evaluarea competenţelor lingvistice într-o limbă de circulaţie internaţională şi în 18-19 august - evaluarea competenţelor digitale.
Din 22 august, vor începe probele scrise, prima testare fiind la limba şi literatura română, urmată, în 23 august, de limba şi literatura maternă, 24 august - proba obligatorie a profilului şi 26 august - proba la alegere a profilului şi specializării.
Primele REZULTATE vor fi afişate în 29 august, până la ora 16:00, iar CONTESTAŢIILE vor fi depuse între orele 16:00 şi 20:00. În 30-31 august vor fi rezolvate contestaţiile, iar în 1 septembrie vor fi afişate REZULTATELE FINALE.
În fişierele ataşate acestui articol, puteţi consulta SUBIECTE MATEMATICĂ şi BAREM MATEMATICĂ din sesiunea 2015 a examenului de BACALAUREAT.
Reamintim că SUBIECTELE şi BAREMUL MATEMATICĂ BACALAUREAT 2016 vor fi afişate în acest articol de îndată ce vor fi făcute publice, urmând ca, după ora 15:00, să fie publicate şi pe site-ul subiecte.edu.ro.
Citește și:
- 23:34 - Rheinmetall, contracte de miliarde din programul SAFE. Scandalul de corupție în care e implicată compania
- 23:27 - Schimbare majoră la Bac 2026. Documentul eliminat oficial din dosarul de înscriere
- 23:17 - CEO-ul OMV Petrom acuză guvernul Bolojan de criza de la pompă
- 22:45 - De ce ar putea pica la CCR legea cumulului pensie-salariu. Argumentele CSM
Mai multe articole despre
Urmărește știrile Realitatea.NET și pe Google News














