În acest articol (GALERIE FOTO) vei găsi imagini cu toate subiectele şi baremele la Matematică m1, m2 şi m3 în următoarea ordine:
Subiecte matematica M1 mate info BAC 2018
Subiecte matematica M2 ştiinţe ale naturii BAC 2018
Subiecte matematica M3 tehnologic BAC 2018
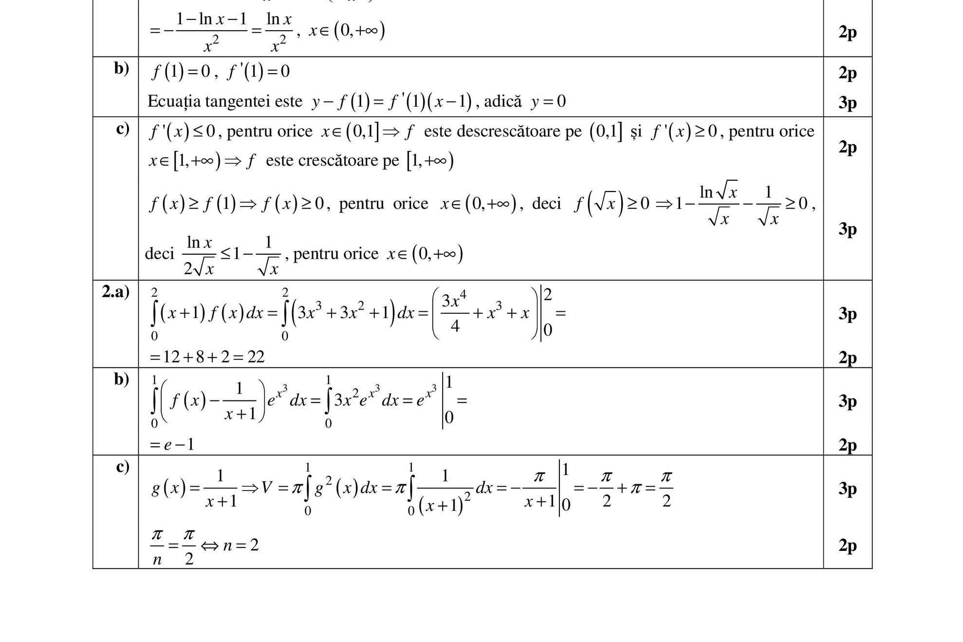
Barem matematica M1 mate info BAC 2018
Barem matematica M2 ştiinţe ale naturii BAC 2018
Barem matematica M3 tehnologic BAC 2018
Subiecte şi barem BAC 2018 Matematica Probele scrise ale examenului de Bacalaureat 2018, sesiunea iunie-iulie 2018, au început luni, 25 iunie, cu testul de Limba şi literatura română - proba E)a). Marţi, 26 iunie, s-a desfăşurat proba la Limba şi literatura maternă - E)b): maghiară, germană, sârbă, slovacă, croată, turcă, ucraineană și italiană. Miercuri, 27 iunie, are loc proba obligatorie a profilului - E)c), conform realitatea.net. Ultima probă scrisă din această sesiune, proba la alegere a profilului şi specializării - E)d), este programată joi, 28 iunie.
Pentru susţinerea probelor scrise la BAC 2018, în cele 440 de centre de examen, s-au înscris 136.871 de elevi din toate promoţiile (118.856 de candidați din promoția 2018, respectiv 18.015 candidați din promoțiile anterioare).
Afişarea primelor rezultate la BAC 2018, în centrele de examen și pe site-ul bacalaureat.edu.ro, este prevăzută pentru data de 4 iulie (până la ora 12:00). În aceeaşi zi, vor putea fi depuse contestaţiile, în intervalul 12:00-16:00. Rezultatele finale vor fi făcute publice pe bacalaureat.edu.ro pe data de 9 iulie.
Accesul candidaţilor în centrele de examen la probele scrise ale Bacalaureatului se face în intervalul 7:30 - 8:30 pe baza unui act de identitate valid, cu fotografie.
Subiecte şi barem BAC 2018 Matematica Timpul destinat redactării unei lucrări scrise la BAC 2018 este de trei ore, calculat din momentul în care s-a încheiat distribuirea subiectelor fotocopiate pentru fiecare candidat. Pentru rezolvarea subiectelor candidaţii vor folosi numai cerneală sau pastă de culoare albastră, iar pentru executarea schemelor şi a desenelor vor utiliza numai creion negru. Pentru probele scrise la Matematică şi Geografie, candidaţii pot apela doar la instrumente de desen, scrie realitatea.net. La probele scrise mijloacele de calcul sunt interzise, iar hârtia folosită este doar cea distribuită de asistenţi. Toate sălile de examen trebuie să aibă în dotare camere funcţionale de supraveghere video şi audio.
Nu este permis accesul în săli cu manuale, dicţionare, notiţe, însemnări etc., care ar putea fi utilizate pentru rezolvarea subiectelor şi nici cu telefoane mobile sau cu orice mijloc electronic de calcul sau comunicare.
În acelaşi timp, elevilor le este interzis să comunice între ei sau cu exteriorul, să transmită ori să schimbe între ei foi din lucrare, ciorne, notiţe sau alte materiale care ar putea fi utilizate pentru rezolvarea subiectelor, pentru comunicare în interior sau cu exteriorul.
Subiecte şi barem BAC 2018 Matematica Elevii de clasa a 12-a surprinşi în aceste situaţii vor fi eliminaţi din examen, indiferent dacă materialele/obiectele interzise au fost folosite sau nu, indiferent dacă au fost introduse de aceştia ori de alţi candidaţi, de cadre didactice din comisie sau de alte persoane şi indiferent dacă ei au primit ori au transmis materialele interzise. Prin urmare, nu vor mai putea participa la probele următoare şi vor fi lipsiţi de posibilitatea recunoaşterii, în sesiunile următoare, a notelor la probele promovate anterior eliminării, inclusiv a probelor de evaluare a competenţelor lingvistice şi digitale.În plus, aceşti candidaţi nu mai au dreptul de a participa la următoarele două sesiuni ale examenului de bacalaureat.
Pentru a fi declarat promovat la BAC 2018, un absolvent de liceu trebuie să îndeplinească următoarele condiţii, cumulativ:
- susţinerea tuturor probelor de evaluare a competenţelor lingvistice şi digitale;
- susţinerea tuturor probelor scrise şi obținerea notei 5 la fiecare dintre acestea;
- obţinerea mediei 6 cel puţin, la probele scrise.
Subiecte şi barem BAC 2018 Matematica Absolvenţii care au promovat toate clasele liceale cu medii generale de minimum 9,50, iar la examenul de Bacalaureat au obţinut media 10 primesc diplomă de merit.
Potrivit prevederilor metodologice, aplicate începând de anul trecut, în urma evaluării lucrărilor contestate „nota inițială se poate modifica, după caz, prin creștere sau descreștere, prin nota acordată la contestații.” Aşadar, nota comisiei de contestații este finală, întrucât nu se mai aplică regula celor 0,5 puncte diferență între nota de la evaluarea inițială și cea de la contestații.
Examenul de bacalaureat este modalitatea de evaluare a competenţelor, a nivelului de cultură generală şi de specializare, atins de absolvenţii de liceu.
Pentru candidaţii care obţin media generală 5,99, media generală se rotunjeşte la 6,00.
Subiecte şi barem BAC 2018 Matematica Candidaţii au dreptul să susţină examenul de bacalaureat, fără taxă, de cel mult două ori. Prezentările ulterioare la examen sunt condiţionate de achitarea unor taxe.
Candidaţii care au participat, dar nu au promovat examenul de bacalaureat în sesiunile de bacalaureat organizate începând cu anul 2003, pot solicita recunoaşterea unora dintre probele promovate în anii menţionaţi, în conformitate cu prevederile prezentei metodologii.
Pe măsură ce se încheie susţinerea probelor scrise, toate lucrările scrise se transportă şi se predau, de către preşedinte, însoţit de vicepreşedinte, de secretar sau de un membru al comisiei centrului de examen, pe bază de proces-verbal, preşedintelui şi vicepreşedintelui din centrul zonal de evaluare.
Odată cu lucrările de la prima probă scrisă, se predă la centrul zonal de evaluare şi catalogul electronic, completat cu prezenţa şi, după caz, cu rezultatele obţinute de candidaţi la probele de evaluare a competenţelor, desfăşurate în unitatea de învăţământ.
Candidaţii care s-au prezentat la toate probele de examen, dar nu îndeplinesc simultan condiţiile menţionate la alin.(4), precum şi candidaţii care s-au prezentat la unele, dar nu la toate probele de examen sunt declaraţi „respinşi”.
Candidaţii care au fost eliminaţi de la o probă, pentru fraudă sau tentativă de fraudă, nu mai pot participa la probele următoare şi sunt declaraţi „eliminaţi din examen”, fără posibilitatea recunoaşterii, în sesiunile următoare, a notelor la probele promovate anterior eliminării sau a probelor de evaluare a competențelor lingvistice și digitale. Se consideră că aceşti candidaţi nu au promovat examenul de bacalaureat.
Subiecte şi barem BAC 2018 Matematica Rezultatele examenului naţional de bacalaureat sunt publice.
Pentru comunicarea rezultatelor finale ale bacalaureatului se întocmesc şi se afişează liste nominale care cuprind: numele şi prenumele candidaţilor, notele obţinute la fiecare probă scrisă, media generală, acolo unde este cazul, participarea şi, după caz, rezultatele obţinute la probele de evaluare a competenţelor şi rezultatul final: „reuşit"/„respins"/„neprezentat"/„eliminat din examen”.
Rezultatele obţinute la probele de evaluare a competenţelor lingvistice şi digitale nu se contestă.
Toate lucrările primite în centrul zonal de evaluare la aceeaşi disciplină, din cadrul aceleiaşi probe de examen, având acelaşi tip de subiect, sunt amestecate de către preşedintele şi vicepreşedintele comisiei, potrivit realitatea.net, apoi sunt grupate în pachete şi numerotate de la 1 la n. De regulă, pachetele cuprind câte 100 de lucrări. Pachetele de lucrări se introduc în dosare/plicuri, după ce pe fiecare lucrare s-a scris şi numărul de ordine al dosarului/plicului.
Dosarele cu lucrările numerotate sunt predate de preşedinte sau de vicepreşedinte, cu proces-verbal de predare-primire, profesorilor evaluatori desemnaţi de preşedinte. Procesul-verbal conţine data, ora, numele persoanelor care predau/preiau lucrări, disciplina de examen, numărul lucrărilor predate/preluate şi numerele de ordine ale acestora.
Înainte de începerea corectării, preşedintele şi vicepreşedintele din centrul zonal de evaluare au obligaţia de a asigura, pentru fiecare disciplină la care se organizează evaluarea, o sesiune de instruire pentru evaluatori. Scopul acestei instruiri este de a diminua diferenţele dintre evaluatori în aplicarea baremului de evaluare.
Evaluarea lucrărilor scrise din fiecare pachet se efectuează, pe baza baremului de evaluare şi notare, în cadrul centrului zonal de evaluare, de doi profesori evaluatori, care lucrează, în mod obligatoriu, în săli separate, stabilite de preşedintele comisiei. În fiecare sală se află cel puţin trei profesori evaluatori. Schimbarea lucrărilor de la primul evaluator la al doilea şi invers se va face în prezenţa preşedintelui sau a vicepreşedintelui comisiei, menţionându-se datele de identificare ale evaluatorului: numele şi numerele lucrărilor corectate.
Subiecte şi barem BAC 2018 Matematica Pe perioada evaluării au voie să intre în săli, în afara evaluatorilor înşişi, doar preşedintele şi vicepreşedintele comisiei judeţene/a municipiului Bucureşti de bacalaureat, preşedintele şi vicepreşedintele centrului zonal de evaluare, reprezentanţii Comisiei Naţionale de Bacalaureat, persoane delegate de către comisia de bacalaureat judeţeană/a municipiului Bucureşti , pentru a controla desfăşurarea bacalaureatului.
Toate borderourile, însoţite de listele cu numerele lucrărilor şi cu distribuţia acestora pe evaluatori se arhivează de către vicepreşedintele comisiei şi vor fi puse la dispoziţia Comisiei Naţionale de Bacalaureat pentru sondaje şi analize post-examen.
După încheierea probelor din cadrul examenului de bacalaureat şi după evaluarea şi notarea tuturor lucrărilor scrise, se comunică rezultatele finale pentru toţi candidaţii.
Pentru fiecare candidat care a obţinut cel puţin nota 5 (cinci) la toate probele scrise de examen, se calculează media generală de bacalaureat ca medie aritmetică, cu două zecimale, fără rotunjire, din notele obţinute la respectivele probe.
Nu se calculează media generală de bacalaureat pentru candidaţii care nu au promovat una sau mai multe probe, care nu s-au prezentat la toate probele sau care au fost eliminaţi de la o probă.
Rezultatul evaluării la proba de evaluare a competenţelor digitale nu se exprimă prin note sau prin calificativ admis/respins, ci prin stabilirea nivelului de competenţă, în raport cu standardele europene recunoscute în domeniu şi în conformitate cu prevederile prezentei metodologii şi a procedurii menţionate la Art.46, alin.(2).
Subiecte şi barem BAC 2018 Matematica Lucrările scrise/produsele informatice elaborate de candidaţii sunt evaluate de cei doi examinatori ai probei de evaluare a competenţelor digitale, în conformitate cu grila de evaluare transmisă de Centrul Naţional de Evaluare și Examinare.
Fiecare evaluator acordă un punctaj exprimat printr-un număr întreg cuprins între 0 şi 100. Punctajul final al fiecărui candidat se calculează ca medie aritmetică a punctajelor celor doi examinatori, rotunjită la cel mai apropiat întreg, mai transmite realitatea.net. În cazul unei Anexa 2 la ordinul MECTS nr. 4799/31.08.2010, privind organizarea şi desfăşurarea examenului de bacalaureat -2011.
Metodologia de organizare şi desfăşurare a examenului de bacalaureat - 2011 32 fracţiuni de 0,50 puncte, rotunjirea se face în favoarea candidatului, la numărul întreg imediat superior.
În funcţie de punctajul obţinut, se va stabili nivelul de competenţă digitală a candidatului: utilizator începător, utilizator de nivel mediu, utilizator avansat, utilizator experimentat.