Simulare clasa a 8-a 2018. Tot ce trebuie să ştii despre Evaluarea Naţională: programă şi subiecte

Simulare clasa a 8-a 2018. Tot ce trebuie să ştii despre Evaluarea Naţională: programă şi subiecte
Simulare clasa a 8-a 2018. Elevii din clasa a VIII-a dau simularea Evaluării Naționale 2018 în perioada 5-7 martie, prima probă scrisă fiind luni la Limba și literatura română.
Rezultate Simulare 2018 - Evaluare Naţională. Iată subiectele şi baremul de corectare la Matematică


Iată subiecte şi barem de corectare la ROMÂNĂ - simulare Evaluare Naţională 2018:




Simulare clasa a 8-a 2018. Ministerul Educaţiei Naţionale organizează, în perioada 5 – 16 martie 2018, la nivel național, simularea Evaluării Naționale pentru elevii clasei a VIII-a.
Prima probă scrisă de la simularea Evaluării Naționale va fi în 5 martie, la Limba și literatura română, în 6 martie va fi proba la Matematică, iar în 7 martie, la Limba și literatura maternă. Rezultatele vor fi anunțate în 16 martie.
Evaluare Nationala – Calendar Simulari 2018 – Clasa a VIII-a
5 martie 2018 Simulare – Limba si literatura romana – proba scrisa
6 martie 2018 Simulare – Matematica – proba scrisa
7 martie 2018 Simulare – Limba si literatura materna – proba scrisa
16 martie 2018 Afisarea rezultatelor
Lista continuturilor pentru simularea sustinuta de elevii clasei a VIII-a
Limba si literatura romana - capitole exceptate:
Subiectele de simulare vor respecta programa pentru disciplina Limba si literatura romana, valabila pentru Evaluarea Nationala. Vor fi exceptate de la simulare urmatoarele continuturi:
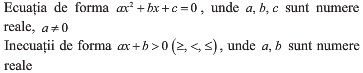
Matematica - - capitole exceptate:
Pentru simularea examenului de Matematica, sunt exceptate urmatoarele teme din Programa pentru disciplina matematica, valabila pentru evaluarea nationala:
din capitolul Numere reale: Rapoarte de numere reale reprezentate prin litere; operatii cu acestea (adunare, scadere, inmultire, impartire, ridicare la putere)
capitolul Functii
din capitolul Ecuatii, inecuatii si sisteme de ecuatii: ecuatii de forma ax+by+c=0, unde a, b, c sunt numere reale, a si b diferite de 0.
sisteme de ecuatii de forma:

probleme care se rezolva cu ajutorul inecuatiilor si al sistemelor de ecuatii
din capitolul Proiectii ortogonale pe un plan: calculul unor distante in interiorul corpurilor studiate
capitolul Calcularea de arii si volume
Simulare clasa a 8-a 2018. Cum arată subiectele la simularea pentru clasa a 8-a
Simulare clasa a 8-a 2018. Calendar Evaluare Naţională 2018
Elevii din clasa a VIII-a termină cursurile în 8 iunie, iar Evaluarea Națională va începe în 11 iunie.
Simulare clasa a 8-a 2018.În perioada 4-8 iunie 2018 va avea loc înscrierea la Evaluarea Națională 2018.
Probele scrise de la Evaluarea Națională încep în 11 iunie, cu Limba şi literatura română, în 13 iunie va fi testarea la Matematică, iar în 14 iunie, la Limba şi literatura maternă.
Simulare clasa a 8-a 2018. Când se afişează rezultatele la Evaluarea Naţională
Simulare clasa a 8-a 2018. Primele rezultate de la Evaluarea Națională 2018 vor fi afişate în 19 iunie, iar în aceeași zi, între orele 14.00 și 19.00, pot fi depuse contestațiile. Rezultatele finale, după soluționarea contestațiilor, vor fi afișate în 23 iunie.
Simulare 2018 Evaluare Naţională: Tot ce trebuie să ştii despre simulările la Română şi Matematică
Ministerul Educației a publicat în decembrie 2017 modele de subiecte pentru Evaluarea Națională 2018, pe care absolvenții claselor a VIII-a le pot găsi accesând site-ul subiecte2018.edu.ro.
Simulare clasa a 8-a 2018. Elaborate de Centrul Național de Evaluare și Examinare (CNEE), modelele de subiecte sunt disponibile pe site-ul subiecte2018.edu.ro.

Modelele de subiecte pentru Evaluarea Naţională au fost construite în funcție de trei cerinţe: formulare clară, precisă şi în strictă concordanţă cu programele de examen, nivel mediu de dificultate și posibilitatea de a fi rezolvate în 120 de minute.
Simulare clasa a 8-a 2018. Centrul Național de Evaluare și Examinare (CNEE) este instituția din subordinea Ministerului Educației specializată în evaluare educaţională, având ca atribuţii, printre altele, asigurarea coordonării ştiinţifice şi profesionale a sistemului de examene din învăţământul preuniversitar.
În același timp, CNEE îi revine elaborarea subiectelor pentru probele de examen, respectiv elaborarea de metodologii, proceduri şi regulamente pentru organizarea şi desfăşurarea examenelor şi evaluărilor în învăţământul preuniversitar.
Citește și:
- 15:06 - Toni Neacșu îi cere demisia lui Bolojan: „Plecarea sa ar stinge conflictul din coaliție. Dispare o persoană dar salvează guvernarea”
- 15:02 - Nicușor Dan face declarații la 15:30 din Croația, în plină criză politică după moțiunea depusă împotriva Guvernului Bolojan
- 15:00 - Fosta Primă Doamnă a Coreei de Sud, condamnată la patru ani de închisoare: ce acuzații i se aduc
- 14:58 - Chiftele crocante din amestec de legume. Rețeta rapidă și foarte gustoasă
Mai multe articole despre
Urmărește știrile Realitatea.NET și pe Google News














