Rezultate FINALE Bacalaureat 2017. Edu.ro are mediile. Lista completă pentru Capitală și toată țara

Rezultate FINALE Bacalaureat 2017. Edu.ro are mediile. Lista completă pentru Capitală și toată țara
Rezultate FINALE Bacalaureat 2017. În acest articol găsiți toate informațiile de pe edu.ro în legătură cu rezultatele obținute la examenul de Bacalaureat 2017 după soluționarea contestațiilor, imediat ce mediile de absolvire vor fi publicate pe bacalaureat.edu.ro.
Rezultate finale Bacalaureat 2017. Peste 125.000 de elevi au susținut în acest an examenul de Bacalaureat 2017. Cum elevii au spus că probele n-au fost la fel de dificile ca în anul trecut, promovabilitatea a fost una mare. Așteptăm acum să vedem care va fi rata de promovabilitate după soluționarea contestațiilor.
La nivel naţional, au promovat examenul, înainte de contestaţii, 71,4% dintre candidaţi, iar în Capitală promovabilitatea a fost de 74,09%.
Înscrierea candidaţilor pentru cea de a doua sesiune a examenului de Bacalaureat se va face între 11 şi 14 iulie. Cei care au promovat examenele de corigenţe o pot face pe 27 iulie. A doua sesiune are loc în luna august.
- Rezultatele după contestații au fost publicate AICI
- Peste 500 de contestaţii au fost depuse în judeţul Satu Mare după examenul de bacalaureat, informează un comunicat de presă al Inspectoratului Şcolar Judeţean.
"După afişarea rezultatelor la examenul de bacalaureat, la nivelul judeţului Satu Mare au fost depuse un număr de 547 contestaţii, din care pentru proba de Limba şi literatura română 292, pentru Limba şi literatura maternă 16, pentru proba obligatorie a profilului 113 şi pentru proba la alegere a profilului şi specializării 126. Contestaţiile sunt soluţionate în perioada 6-9 iulie 2017 iar în data de 10 iulie 2017 vor fi afişate rezultatele finale", precizează sursa citată.
- Ministrul Educației a anunțat că anul acesta, promovabilitatea a fost de 71,4%, în creștere semnificativ față de anul trecut (66,7%)
- La ora 12.30, ministrul Educației va susține o declarație de presă în care va face o scurtă analiză a rezultatelor obținute la BACALAUREAT 2017. Credeți că rata de promovare va fi mai mare anul acesta?
- Când vor fi afișatet afișate rezultate online la BACALAUREAT 2017, avem o sugestie pentru dvs: încercați să folosiți căutarea după nume. E cea mai simplă și mai rapidă metodă de a găsi notele unui elev.
- Mai avem în jur de 30 de minute până la publicarea rezultatelor
- RATA DE PROMOVARE A BACALAUREATULUI
*înainte de contestații
BAC 2016: 66,7%
BAC 2015: 66,41%
BAC 2014:60,65%
BAC 2013: 56,4%
BAC 2012: 44,3%
- Informație importantă: BACALAUREAT 2016 – 2017
În toamna anului 2016 – 2017 au început şcoala în CLASA A XII-A 140.000 de elevi!
Pentru examenul de BACALAUREAT S-AU ÎNSCRIS – 119.000 de elevi din promotia curenta!!!!!! In total s-au inscris pentru acest examen peste 135.000 de elevi din toate promotiile.
Asta inseamna ca in jur de 21.000 DE ELEVI DIN PROMOTIA CURENTA NU AU DEPUS EFORTUL SA SE INSCRIE LA BAC
- Numai in ultimii doi ani in jur de 67.000 de absolventi de liceu NU S-AU INSCRIS PENTRU EXAMENUL DE BACALAUREAT! CIFRA EXACTA ESTE DE 67.455 DE ELEVI
Rezultate FINALE Bacalaureat 2017 Statisticile EDU.ro de anul trecut oferă o analiză a promovabilității. Potrivit acesteia cei mai mulți candidați care au promovat BAC-ul provind din promoția curentă, mediul urban și au urmat filiera teoretică.

- multe contestatii au fost făcute anul trecut la Limba și literatura română: 18.466. după cum știm, bătăi de cap au dat subiectele III de la profilul uman și de la cel real. Mulți elevi au semnat o petiție pentru a-și susține alegerea: Moromeții, roman interbelic, deși acesta nu era. alții au avut de furcă cu romanul psihologic.
În mod clar, rezultatele înainte de contestații nu au fost pe placul candidaților
- o altă statistică interesantă oferită de EDU.ro arată variația promovabilității la BACALAUREAT în 2016 față de 2015.
Printre județele cu cea mai mare îmbunătățire a notelor se află Harghita, Teleorman și Constanța.
La polul opus, județele care au regresat sunt Mureș, Bihor și Ilfov.
REZULTATE FINALE BAC 2017 - edu.ro. Ora 12.30: Ministrul Educației, anunț despre rezultatele la BACALAUREAT

- Cum arată statistica înscrierii la BACALAUREAT în ultimii ani. Îngrijorătoare. Cu fiecare an, numărul de elevi absolvenți ai clasei a XII-a înscriși la examen s-a redus semnificativ. De la 161.682 în 2014 la 137.338 în 2016. Iată statistica oferită de EDU.ro:

Rezultate FINALE Bacalaureat 2017: Notele pentru fiecare județ
REZULTATE BACALAUREAT 2017 Edu.ro Arad
REZULTATE BACALAUREAT 2017 Edu.ro Argeş
Rezultate BACALAUREAT 2017 Edu.ro Alba
Rezultate BACALAUREAT 2017 Edu.ro Bacău
Rezultate BACALAUREAT 2017 Edu.ro Bihor
Rezultate BACALAUREAT 2017 Edu.ro Bistriţa Năsăud
Rezultate BACALAUREAT 2017 Edu.ro Botoşani
Rezultate BACALAUREAT 2017 Edu.ro Brăila
REZULTATE BACALAUREAT 2017 Edu.ro Braşov
REZULTATE BACALAUREAT 2017 Edu.ro Buzău
Rezultate BACALAUREAT 2017 Edu.ro Bucureşti
REZULTATE BACALAUREAT 2017 Edu.ro Caraş Severin
REZULTATE BACALAUREAT 2017 Edu.ro Călăraşi
REZULTATE BACALAUREAT 2017 Edu.ro Constanţa
REZULTATE BACALAUREAT 2017 Edu.ro Cluj
REZULTATE BACALAUREAT 2017 Edu.ro Damboviţa
REZULTATE BACALAUREAT 2017 Edu.ro Dolj
REZULTATE BACALAUREAT 2017 Edu.ro Galaţi
REZULTATE BACALAUREAT 2017 Edu.r Giurgiu
REZULTATE BACALAUREAT 2017 Edu.ro Gorj
REZULTATE BACALAUREAT 2017 Edu.ro Harghita
REZULTATE BACALAUREAT 2017 Edu.ro Hunedoara
REZULTATE BACALAUREAT 2017 Edu.ro Ialomiţa
REZULTATE BACALAUREAT 2017 Edu.ro Iaşi
REZULTATE BACALAUREAT 2017 Edu.ro Ilfov
REZULTATE BAC 2017 Edu.ro Maramureş
REZULTATE BACALAUREAT 2017 Edu.ro Olt
REZULTATE BACALAUREAT 2017 Edu.ro Prahova
REZULTATE BACALAUREAT 2017 Edu.ro Satu Mare
REZULTATE BACALAUREAT 2017 Edu.ro SĂLAJ
REZULTATE BACALAUREAT 2017 Edu.ro Sibiu
REZULTATE BACALAUREAT 2017 Edu.ro Suceava
REZULTATE BACALAUREAT 2017 Edu.ro Teleorman
REZULTATE BACALAUREAT 2017 Edu.ro Timiş
REZULTATE BACALAUREAT 2017 Edu.ro Tulcea
REZULTATE BACALAUREAT 2017 Edu.ro VÂLCEA
REZULTATE BACALAUREAT 2017 Edu.r VASLUI
REZULTATE BACALAUREAT 2017 Edu.ro VRANCEA
REZULTATE FINALE BACALAUREAT 2017 EDU.ro: Care este nota minima de trecere
Rezultate FINALE BACALAUREAT 2017 – Este foarte important de stiut ca desi media tuturor probelor la Bacalaureat trebuie sa fie cel putin 6 pentru ca un elev sa fie considerat admis, notele obtinute la fiecare proba in parte pot fi sub nota 6.
La fiecare dintre probe, elevii trebuie sa obtina cel putin nota 5 pentru a putea fi considerati admisi. Spre deosebire de anii trecuti, acum nu mai conteaza notele obtinute probele de limba romana oral, limba straina oral sau informatica. Aceste probe sunt considerate doar competente dobandite in timpul liceului si sunt notate cu calificative, fara sa influenteze nota finala.
Rezultate BAC 2017 Chimie. Vezi notele la Chimie organică şi anorganică - BAC 2017 edu.ro
Rezultate BAC 2017 Biologie. Subiecte uşoare, note pe măsură: Iată rezultatele la BAC 2017!
Rezultate BAC 2017 Anatomie. Momentul adevărului: Consultă AICI notele la Bacalaureat 2017
Rezultate BAC 2017 ISTORIE. Note bune la Istorie: Verifică ai ce rezultate ai avut la BAC 2017
Rezultate BAC 2017 Matematică. Consultă pe Edu.ro notele la Română BAC 2017
Rezultate BAC 2017 Geografie. Edu.ro a anunţat notele la BAC 2017. VEZI aici rezultatele!
Rezultate BAC 2017 Română. Verifică aici notele la Română BAC 2017
REZULTATE FINALE BACALAUREAT 2017 EDU.ro: Calendarul sesiunii august-septembrie
Calendar BAC 2017 - Sesiunea august-septembrie 2017
11 - 14 iulie 2017 Înscrierea candidaţilor la a doua sesiune de examen
27 iulie 2017 Înscrierea candidaţilor care au promovat examenele de corigenţe
21 august 2017 Limba şi literatura română – proba Ea) - probă scrisă
22 august 2017 Limba şi literatura maternă – proba Eb) - probă scrisă
23 august 2017 Proba obligatorie a profilului – proba Ec) - probă scrisă
24 august 2017 Proba la alegere a profilului şi specializării - proba Ed) - probă scrisă
25, 28 august 2017 Evaluarea competenţelor lingvistice de comunicare orală în limba română - proba A
28 august 2017 Evaluarea competenţelor lingvistice de comunicare orală în limba maternă - proba B
29-30 august 2017 Evaluarea competenţelor digitale - proba D
30-31 august 2017 Evaluarea competenţelor lingvistice într-o limbă de circulaţie internaţională - proba C
1 septembrie 2017 Afişarea rezultatelor (până la ora 16,00) şi depunerea contestaţiilor (orele 16:00 - 20:00)
2 - 5 septembrie 2017 Rezolvarea contestaţiilor
6 septembrie 2017 Afişarea rezultatelor finale
REZULTATE FINALE BACALAUREAT 2017 EDU.ro. Iată baremul la Geografie


REZULTATE FINALE BACALAUREAT 2017 EDU.ro. Iată subiectele:




REZULTATE finale BACALAUREAT 2017 EDU.ro: Cum a fost anul trecut

Iată ce subiecte au picat la Geografie Bac anul trecut




Rezultate FINALE BACALAUREAT 2017 EDU.ro - IATĂ BAREMUL la Biologie


Rezultate finale BACALAUREAT 2017 EDU.ro - IATĂ SUBIECTELE



Rezultate FINALE BACALAUREAT 2017 EDU.ro UPDATE: Examenul a început. Este ultima probă a aceseti sesiuni a BACALAUREATULUI.
Rezultate FINALE BACALAUREAT 2017 EDU.ro UPDATE: Au început deja să iasă primii elevi din sălile de examen. Cei care au rămas mai au însă o oră și 20 de minute pentru a rezolva cerințele.
Rezultate FINALE BACALAUREAT 2017 EDU.ro UPDATE: Mai avem jumătate de oră din examen. De știut: anul acesta, elevii nu mai au voie să scoată subiectele din sălile de examen. Asta înseamnă că publicarea acestora pe site-ul nostru va fi posibilă, cel mai probabil, atunci când EDU.o le va publica, împreună cu baremul de corectare.
Rezultate FINALE BACALAUREAT 2017 EDU.ro UPDATE: Mai sunt doar zece minute și pe rețelele sociale, elevii care au susținut proba la BIOLOGIE și au ieșit deja din examen își compară rezolvările.
Rezultate FINALE BACALAUREAT 2017 EDU.ro UPDATE: Examenul a luat sfârșit!
Rezultate FINALE BACALAUREAT 2017 EDU.ro UPDATE: Baremul va fi publicat în jurul orei 15.00 pe Edu.ro și pe Realitetea.net.
Rezultate FINALE BACALAUREAT 2017 edu.ro: Cum a fost anul trecut


Rezultate FINALE BACALAUREAT 2017 EDU.ro: Model oferite de EDU.ro pentru BIOLOGIE VEGETALĂ și ANIMALĂ
SUBIECTUL I (30 de puncte)
A 4 puncte
Scrieţi, pe foaia de examen, noţiunile cu care trebuie să completaţi spaţiile libere din afirmaţia următoare, astfel încât aceasta să fie corectă. După consistenţa substanţei fundamentale, ţesuturile conjunctive sunt moi, '''' şi '''' .
B 6 puncte
Numiţi două faze ale meiozei; scrieţi în dreptul fiecărei faze câte o caracteristică.
C 10 puncte
Scrieţi, pe foaia de examen, litera corespunzătoare răspunsului corect. Este corectă o singură variantă de răspuns.
1. Cefalopodele sunt:
a) anelide
b) celenterate
c) cordate
d) moluşte
2. Din structura celulei animale lipseşte:
a) citoplasma
b) mitocondria
c) peretele celular
d) reticulul endoplasmic
3. Intestinul subţire al mamiferelor:
a) este componentă a tubului digestiv
b) este localizat în cavitatea toracică
c) participă la realizarea funcţiei de relaţie
d) secretă un suc digestiv care conţine tripsină
4. Ascomicetele aparţin regnului:
a) Animale
b) Fungi
c) Plante
d) Protiste
5. Fiecare dintre celulele-fiice formate prin diviziunea mitotică a unei celule-mamă cu 2n = 26 cromozomi are:
a) 2n = 26 cromozomi
b) 2n = 13 cromozomi
c) n = 26 cromozomi
d) n = 13 cromozomi
D 10 puncte
Citiţi, cu atenţie, afirmaţiile următoare. Dacă apreciaţi că afirmaţia este adevărată, scrieţi, pe foaia de examen, în dreptul cifrei corespunzătoare afirmaţiei, litera A. Dacă apreciaţi că afirmaţia este falsă, scrieţi, pe foaia de examen, în dreptul cifrei corespunzătoare afirmaţiei, litera F şi modificaţi parţial afirmaţia pentru ca aceasta să devină adevărată. Folosiţi, în acest scop, informaţia ştiinţifică adecvată. Nu se acceptă folosirea negaţiei.
1. La mamifere, ureterele sunt protejate de o capsulă cu pereţi dubli.
2. Ereditatea este însuşire a lumii vii.
3. Fotosinteza reprezintă modul de nutriţie specific bazidiomicetelor.
SUBIECTUL al II-lea (30 de puncte)
A 18 puncte
La mamifere, sistemul circulator este alcătuit din inimă şi vase de sânge.
a) Caracterizaţi o boală a sistemului circulator la om, precizând: denumirea bolii, o cauză, o
manifestare, o măsură de prevenire.
b) Precizaţi o asemănare şi o deosebire între artera pulmonară şi venele pulmonare.
c) Calculaţi conţinutul în apă al plasmei sângelui unui tânăr, ştiind următoarele:
- volumul sangvin reprezintă 7% din masa corpului;
- plasma sangvină reprezintă 55% din volumul sangvin;
- apa reprezintă 90% din compoziţia plasmei sangvine;
- tânărul cântăreşte 53 de Kg.
Scrieţi toate etapele parcurse pentru rezolvarea cerinţei.
d) Completaţi problema de la punctul c) cu o altă cerinţă pe care o formulaţi voi, folosind informaţii ştiinţifice specifice biologiei; rezolvaţi cerinţa pe care aţi propus-o.
B 12 puncte
Se încrucişează două soiuri de dud care se deosebesc prin două perechi de caractere:
culoarea şi dimensiunea fructelor. Un soi de dud are fructe roşii (R) şi mici (m), iar celălalt soi de dud are fructe albe (r) şi mari (M). Părinţii sunt homozigoţi pentru ambele caractere. În prima generaţie, F1, se obţin organisme hibride. Prin încrucişarea între ei a hibrizilor din F1, se obţin în F2 16 combinaţii de factori ereditari. Stabiliţi următoarele:
a) genotipurile celor două soiuri de dud;
b) trei exemple de tipuri de gameţi produşi de indivizii din F1;
c) numărul combinaţiilor din F2, homozigote pentru ambele caractere; fenotipul indivizilor din F2 ale căror genotipuri sunt: rrMm şi rrmm.
d) Completaţi această problemă cu o altă cerinţă pe care o formulaţi voi, folosind informaţii ştiinţifice specifice biologiei; rezolvaţi cerinţa pe care aţi propus-o.
Scrieţi toate etapele rezolvării problemei.
SUBIECTUL al III-lea (30 de puncte)
1. 14 puncte
În lumea vie există două tipuri de respiraţie: aerobă şi anaerobă.
a) Scrieţi ecuaţia chimică a respiraţiei anaerobe.
b) Explicaţi rolul muşchilor inspiratori în realizarea inspiraţiei la mamifere.
c) Construiţi patru enunţuri afirmative, câte două pentru fiecare conţinut, utilizând limbajul ştiinţific adecvat.
Folosiţi, în acest scop, informaţii referitoare la următoarele conţinuturi:
- Fermentaţia acetică.
- Plămânii mamiferelor.
2. 16 puncte
Organele de simţ împreună cu sistemul nervos au rol în realizarea sensibilităţii la mamifere.
a) Daţi trei exemple de organe de simţ ale mamiferelor.
b) Precizaţi relaţia dintre organele de simţ şi sistemul nervos în asigurarea sensibilităţii la
mamifere.
c) Alcătuiţi un minieseu intitulat „Paralizia – boală a sistemului nervos central”, folosind informaţia ştiinţifică adecvată.
În acest scop, respectaţi următoarele etape:
- enumerarea a şase noţiuni specifice acestei teme;
- construirea, cu ajutorul acestora, a unui text coerent, format din maximum trei-patru fraze, folosind corect şi în corelaţie noţiunile enumerate.
REZULTATE FINALE BACALAUREAT 2017 Edu.ro. Cum a fost anul trecut
SUBIECTUL I (30 de puncte)
A 4 puncte Se acordă câte 2p. pentru fiecare noţiune corectă. 2 x 2p. = 4 puncte
B 6 puncte
- numirea a două faze ale meiozei; 2 x 1p. = 2 puncte
- câte o caracteristică pentru fiecare fază a meiozei. 2 x 2p. = 4 puncte
C 10 puncte
Se acordă câte 2p. pentru fiecare răspuns corect: 1d; 2c; 3a; 4b; 5a. 5 x 2p. = 10 puncte
D 10 puncte
Se acordă câte 2p. pentru fiecare răspuns corect: 1F; 2A; 3F. 3 x 2p.= 6 puncte
Se acordă câte 2p. pentru modificarea corectă a fiecărei afirmaţii false. 2 x 2p.= 4 puncte
SUBIECTUL al II-lea (30 de puncte)
A 18 puncte
a) caracterizarea unei boli a sistemului circulator la om precizând:
- denumirea bolii; 1 punct
- o cauză a bolii; 1 punct
- o manifestare a bolii; 1 punct
- o măsură de prevenire a bolii. 1 punct
b) precizarea unei asemănări şi a unei deosebiri între artera pulmonară şi venele pulmonare;
2 x 2p.= 4 puncte
c) - calcularea masei sângelui tânărului; 2 puncte
53 x 7 : 100 = 3,71 kg;
- calcularea masei plasmei sangvine; 2 puncte
3,71 x 55 : 100 = 2,0405 kg;
- calcularea masei apei din plasma sangvină; 2 puncte
2,0405 x 90 : 100 = 1,83645 kg.
d) - formularea cerinţei; 2 puncte
- rezolvarea cerinţei. 2 puncte
Notă
Se punctează oricare altă modalitate de rezolvare a problemei. Pentru raţionamentul corect, neînsoţit de calcule, se acordă jumătate din punctajul repartizat rezolvării problemei.
B 12 puncte
a) genotipurile celor două soiuri de dud: RRmm; rrMM; 2 x 1p. = 2 puncte
b) trei exemple de tipuri de gameţi produşi de indivizii din F1; 3 x 1p. = 3 puncte
c) numărul combinaţiilor din F2, homozigote pentru ambele caractere: 4 (4/16); 1 punct
- fenotipul indivizilor din F2 ale căror genotipuri sunt: rrMm şi rrmm; 2 x 1p. = 2 puncte
d) - formularea cerinţei; 2 puncte
- rezolvarea cerinţei. 2 puncte
SUBIECTUL al III-lea (30 de puncte)
1. 14 puncte
a) scrierea ecuaţiei chimice a respiraţiei anaerobe; 3 puncte
b) explicarea rolului muşchilor inspiratori în realizarea inspiraţiei la mamifere; 3 puncte
c) construirea a patru enunţuri afirmative, utilizând limbajul ştiinţific adecvat, folosind informaţii
referitoare la conţinuturile indicate. 4 x 2p. = 8 puncte
2. 16 puncte
a) trei exemple de organe de simţ ale mamiferelor; 3 x 1p. = 3 puncte
b) precizarea relaţiei dintre organele de simţ şi sistemul nervos în asigurarea sensibilităţii la
mamifere; 3 puncte
c) alcătuirea minieseului, folosindu-se informaţia ştiinţifică adecvată, respectându-se cerinţele:
- pentru fiecare noţiune enumerată, specifică temei, se acordă câte 1p.; 6 x 1p.= 6 puncte
- pentru coerenţa textului, de maximum trei-patru fraze, în alcătuirea căruia fiecare noţiune este
folosită corect, în corelaţie cu celelalte noţiuni, se acordă 4 p. 4 puncte.
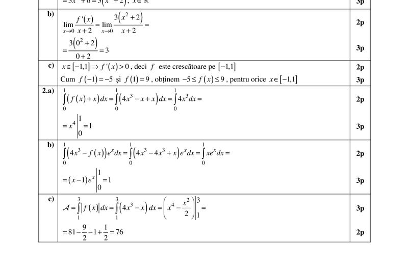
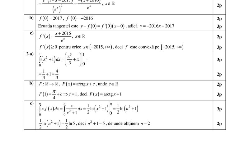
Rezultate FINALE BACALAUREAT 2017 Edu.ro. Barem de corectare la matematică
BAREM Matematica BAC 2017 M1, M2, M3 UPDATE: s-au publicat subiectele și baremul de corectare. Mai jos:
- Tehnologic (M3):



Științele naturii (M2):



Mate-info (M1):


REZULTATE FINALE BACALAUREAT 2017 Edu.ro. BAREM Matematica BAC 2017 M1, M2, M3 UPDATE - Mai este doar o oră și jumătate până la publicarea baremului. Ce trebuie să știe elevii:
- Pentru orice soluţie corectă, chiar dacă este diferită de cea din barem, se acordă punctajul corespunzător.
- Nu se acordă fracţiuni de punct, dar se pot acorda punctaje intermediare pentru rezolvări parţiale, în
limitele punctajului indicat în barem.
- Se acordă 10 puncte din oficiu. Nota finală se calculează prin împărţirea la 10 a punctajului total acordat
pentru lucrare.
REZULTATE FINALE BACALAUREAT 2017 Edu.ro UPDATE - Nu uitați, indiferent de profil, la proba de matematică elevii au de rezolvat trei subiecte, notate fiecare cu câte 30 de puncte. 10 puncte vor fi acordate din oficiu. Subiectele sunt diferite în funcţie de specializare: matematică-informatică, pedagogică, ştiinţele naturii şi tehnologică.
REZULTATE FINALE BACALAUREAT 2017 Edu.ro UPDATE - Examenul a luat sfârșit. Pentru elevi urmează acum așteptarea chinuitoare până la publicarea baremelor de corectare, moment în care vor putea să facă o estimare a notei. Rămâneți pe Realitatea.net pentru a afla toate aceste detalii.
REZULTATE FINALE BACALAUREAT 2017 Edu.ro UPDATE - Până la apariția baremelor de corectare, iată o primă variantă de subiect, la mate-info:

REZULTATE FINALE BACALAUREAT 2017 Edu.ro UPDATE - Unii dintre elevii care au ieșit de la examen susțin că subiectele au fost ușoare. Vă reamintim că elevii nu mai sunt lăsați să scoată foile cu subiecte din sălile de examen, astfel că vom intra în posesia lor doar la ora 15.00, când EDU.ro le va publica împreună cu baremele.
REZULTATE FINALE BACALAUREAT 2017 Edu.ro UPDATE - În paralel se desfășoară proba de Istorie, pentru profilurile umaniste. Aflați de pe Realitatea.net ce a picat la această probă și care sunt baremele de corectare.
REZULTATE FINALE BACALAUREAT 2017 Edu.ro UPDATE - La Matematică, la partea I, elevii au avut de rezolvat numere complexe, geometrie, logaritmi La partea a II-a matrice, iar la partea a III-a derivate şi integrale. La examenul de Bacalaureat de anul acesta elevii nu mai sunt lăsaţi să iasă din sală cu foile pe care au primit subiectele.
REZULTATE FINALE BACALAUREAT 2017 Edu.ro UPDATE - Mai avem mai puțin de o oră până la finalul probei și mulți elevi au ieșit deja din clase.
REZULTATE FINALE BACALAUREAT 2017 Edu.ro UPDATE - Elevii nu au voie să părăsească sala de examen cu subiectele, astfel că acestea vor ajunge la public ceva mai greu. Cu siguranță le vom afla atunci când EDU.ro le va publica, împreună cu baremul de corectare.
REZULTATE FINALE BACALAUREAT 2017 Edu.ro UPDATE - În acest articol, puțin mai jos, aveți subiecte și baremele aferente la BACALAUREAT 2016, pentru a face o comparație cu anul acesta.
REZULTATE FINALE BACALAUREAT 2017 Edu.ro UPDATE - Conform datelor centralizate de Ministerul Educaţiei Naţionale, la proba de Limba şi literatura română - E)a), rata de participare a fost de 96,62% (96,12%, în prima sesiune din 2016). Mai exact, dintre cei 124.425 de candidaţi înscrişi, s-au prezentat 120.220 de candidaţi. Au absentat 4.150 de candidaţi, iar 55 au fost eliminaţi pentru fraudă sau tentativă de fraudă.
REZULTATE FINALE BACALAUREAT 2017 Edu.ro UPDATE - Mai mulţi elevi au părăsit, deja, sălile de examen.
REZULTATE FINALE BACALAUREAT 2017 Edu.ro UPDATE - Aşa cum v-am obişnuit deja, pe site-ul nostru, www.realitatea.net, vom publica, în timp real, SUBIECTE şi BAREM pentru probele scrise obligatorii ale profilului, respectiv MATEMATICĂ şi ISTORIE, urmând ca, undeva în jurul orei 15:00, subiectele şi baremul să fie publicate şi pe site-ul subiecte.edu.ro.
REZULTATE FINALE BACALAUREAT 2017 Edu.ro UPDATE - Miercuri, 28 iunie, absolvenţii de clasa a XII-a susțin PROBA SCRISĂ OBLIGATORIE a profilului, respectiv MATEMATICĂ sau ISTORIE.
Citește și:
- 12:25 - Accident violent în municipiul Bacău. Un șofer a ajuns cu mașina în gardul unei curți -VIDEO
- 11:28 - Resturi de drone rusești prăbușite în Galați. Ambasadorul Rusiei la București, convocat la sediul MAE
- 08:07 - Alertă maximă în România. Fragmente de dronă căzute în Galaţi. Pericol de explozie, mai mulți oameni evacuați FOTO/VIDEO
- 23:58 - Horoscopul banilor pentru săptămâna 27 aprilie – 3 mai 2026. Două zodii dau lovitura, în timp ce trei zodii învață să mai strângă cureaua
Mai multe articole despre
Urmărește știrile Realitatea.NET și pe Google News














