Teoretic, cele mai grele subiecte la BAC 2018 matematică sunt cele pentru elevii de la matematică-informatică, însă au fost și ani în care subiectele de la M2 (științele naturii) au fost ceva mai grele. Cele mai grele subiecte sunt de obicei cele legata de funcții.
Totul depinde de varianta de subiecte extrase pentru fiecare profil la BAC 2018 matematică. realitatea.net îți prezintă subiectele de îndată ce acestea devin disponibile.
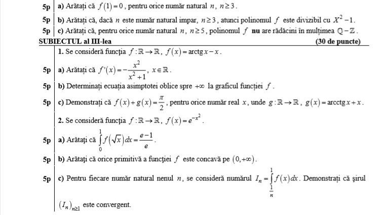
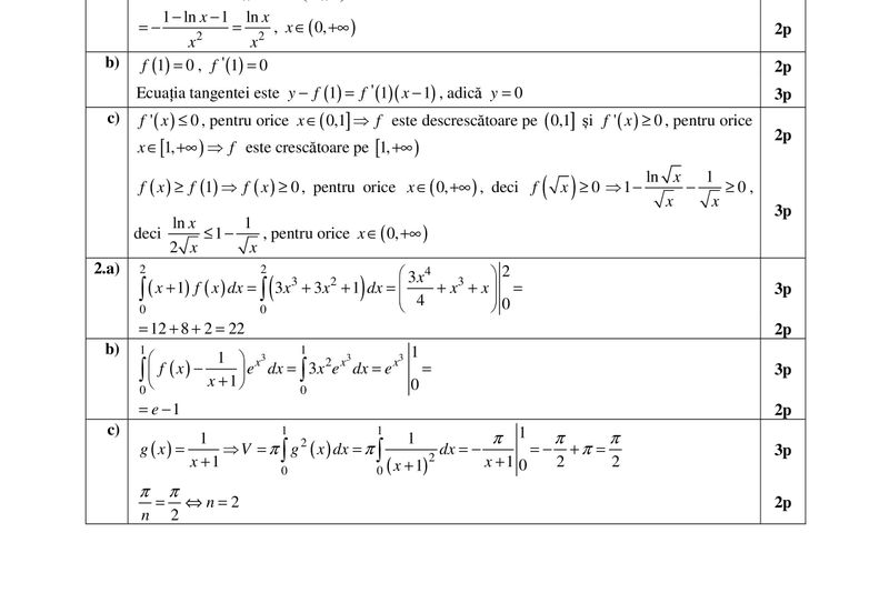
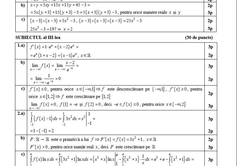
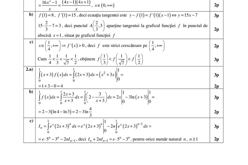
UPDATE: Barem matematică Mate-Info, Stiintele Naturii, Tehnologic BAC 2018:






În timp ce absolvenții acestor profile dau BAC 2018 la matematică, elevii care au studiat filologia susțin miercuri, 27 iunie, examenul scris la istorie. După proba de astăzi, pentru elevii de liceu urmează o singură probă scrisă. Joi, 28 iunie, ei vor susține proba la alegere a profilului. Apoi, pe 4 iulie, este ziua mult-așteptată a rezultatelor BAC 2018. Elevii trec dacă iau minimum 5 la toate materiile de BAC, dar și o medie generală de 6 la cele 3 probe scrise (4, în cazul minorităților naționale).
UPDATE: Iată subiecte la matematică BAC 2018 M1, M2, M3. Barem matematică, pe edu.ro, la ora 15.



Nota de la BAC 2018 contează foarte mult la admitere, multe universități având admitere pe bază de dosar. Totuși, cele mai bune dintre facultăți au examene de admitere.
BAC 2018 matematică - Funcția de la subiectul 3 - frica tuturor
La BAC 2018 matematică, elevii primesc 3 subiecte, potrivit modelelor publicate pe siteul oficial al Ministerului Educației, subiecte.edu.ro. La linkul de AICI sunt listate toate modelele de subiecte pentru BAC 2018; la română, matematică, istorie, geografie, biologie (anatomie și biologie vegetală), chimie (organică și anorganică), fizică, informatică, socio-umane (economie, logică, filosofie, psihologie).
Fiecare dintre subiectele de la BAC 2018 matematică sunt notate cu 30 de puncte. 10 puncte sunt oferite din oficiu. De regulă, cel mai greu dintre subiectele la BAC 2018 matematică este cel de-al treilea. De exemplu, în modelul de subiect de pe subiecte.edu.ro, la mate info subiectul 3 este o funcție, iar la subiectul 2 este o matrice. În foarte mulți ani, elevii au avut de rezolvat matrici și funcții, așa că sunt mari șanse ca acestea să pice și la examenul de BAC 2018 matematică.
BAC 2018 - cei picați la matematică pot reveni la toamnă
Cei care nu iau BAC 2018 la matematică sau alte materii (dar și cei care au luat peste 5 la toate materiile, dar nu și media 6 la general) pot reveni la BAC-ul de toamnă, în sesiunea august-septembrie.
BAC 2018 la matematică e materia cu cei mai mulți picați, iar cei care nu au luat BAC-ul doar la această materie vor susține examenul în toamnă doar la matematică.
Iată și modelul de subiect apărut pe siteul Ministerului Educației înainte de BAC 2018 la matematică:

"Pentru rezolvarea subiectelor candidaţii vor folosi numai cerneală sau pastă de culoare albastră, iar pentru executarea schemelor şi a desenelor vor utiliza numai creion negru. Pentru probele scrise la Matematică şi Geografie, candidaţii pot apela doar la instrumente de desen. La probele scrise, mijloacele de calcul sunt interzise, iar hârtia folosită este doar cea distribuită de asistenţi.
Toate sălile de examen trebuie să aibă în dotare camere funcţionale de supraveghere video şi audio", precizează MEN. Nu este permis accesul în săli cu manuale, dicţionare, notiţe, însemnări etc., care ar putea fi utilizate pentru rezolvarea subiectelor, şi nici cu telefoane mobile sau cu orice mijloc electronic de calcul/comunicare. În acelaşi timp, candidaţilor le este interzis să comunice între ei sau cu exteriorul, să transmită ori să schimbe între ei foi din lucrare, ciorne, notiţe sau alte materiale care ar putea fi utilizate pentru rezolvarea subiectelor, pentru comunicare în interior sau cu exteriorul. Cei surprinşi în aceste situaţii vor fi eliminaţi din examen, indiferent dacă materialele/obiectele interzise au fost folosite sau nu, indiferent dacă au fost introduse de aceştia ori de alţi candidaţi, de cadre didactice din comisie sau de alte persoane şi indiferent dacă ei au primit ori au transmis materialele interzise. Drept consecinţă, nu vor mai putea participa la probele următoare şi vor fi lipsiţi de posibilitatea recunoaşterii, în sesiunile următoare, a notelor la probele promovate anterior eliminării, inclusiv a probelor de evaluare a competenţelor lingvistice şi digitale.
De asemenea, aceşti candidaţi nu mai au dreptul de a participa la următoarele două sesiuni ale examenului, precizează MEN. Pentru a fi declarat promovat, un absolvent de liceu trebuie să îndeplinească următoarele condiţii, cumulativ: susţinerea tuturor probelor de evaluare a competenţelor lingvistice şi digitale, susţinerea tuturor probele scrise şi obţinerea notei 5 la fiecare dintre acestea, obţinerea mediei 6, cel puţin, la probele scrise. În conformitate cu prevederile metodologice, aplicate începând cu anul 2017, în urma evaluării lucrărilor contestate "nota iniţială se poate modifica, după caz, prin creştere sau descreştere, prin nota acordată la contestaţii". Cu alte cuvinte, nota comisiei de contestaţii este finală, întrucât nu se mai aplică regula celor 0,5 puncte diferenţă între nota de la evaluarea iniţială şi cea de la contestaţii”.