Advertising
Advertising
BAREM Matematică M1, M2, M3, M4. VEZI rezolvările corecte la BAC 2016. Baremele de corectare
6 iul. 2016, 15:49
Actualizat: 6 iul. 2016, 15:49

BAREM Matematică M1, M2, M3, M4. VEZI rezolvările corecte la BAC 2016. Baremele de corectare
Articol scris de Scris de Realitatea.NET
Advertising
Sursă: REALITATEA.NET
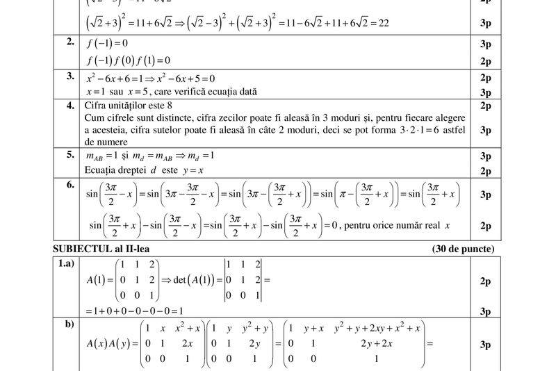
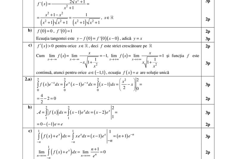
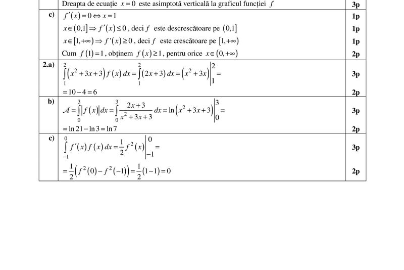
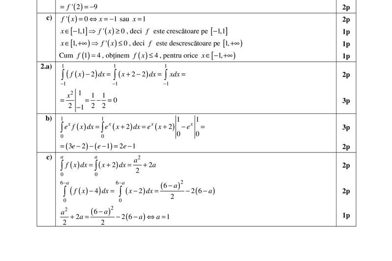
Baremele de corectare la MATEMATICĂ M1, M2, M3, M4 au fost publicate pe site-ul Ministerului Educaţiei. Vezi pozele din galeria foto de mai jos şi verifică-te dacă ai rezolvat corect exerciţiile.
BAREMELE de corectare la Matematică M1, M2, M3, M4 au fost publicate de Ministerul Educaţiei - EDU.ro:
Consultaţi AICI - BAREM MATEMATICA BAC 2016 - Barem M1 mate - info

Advertising
Advertising

Consultaţi AICI - BAREM MATEMATICA BAC 2016 - Barem M2 STIINTE ALE NATURII


Consultaţi AICI - BAREM MATEMATICA BAC 2016 - Barem M3 TEHNOLOGIC


Consultaţi AICI - BAREM MATEMATICA BAC 2016 - Barem M4 PEDAGOGIC


VEZI AICI Subiectele la MATEMATICĂ la BAC 2016 - M1, M2, M3, M4
Citește și:
- 14:30 - Vântul puternic face prăpăd în nordul și estul României: copaci doborâți, acoperișuri smulse și mașini avariate - VIDEO
- 14:20 - Percheziții în Botoșani acasă la un bărbat, după ce a amenințat o persoană pe rețele sociale cu imagini cu un pistol
- 13:33 - Petrișor Peiu acuză Guvernul că ascunde adevăratul deficit bugetar și pregătește vânzarea obscură a acțiunilor de stat
- 13:14 - Un bărbat a murit, după ce a fost lovit de un acoperiș prăbușit în Vaslui - VIDEO
Advertising
Advertising
Mai multe articole despre
Urmărește știrile Realitatea.NET și pe Google News
Advertising
Advertising














